e-form image galleries
-
Change of medication
-
Clinical notes
Anti-microbial authorisation
Breast care nursing admission
Clinical notes
COVID-19 triage
Electronic triage
Inflammatory Bowel Disease (IBD) helpline
Intravesical treatment
Liver cirrhosis clinic
Lymphoedema services
NHS near me blood request e-form
Oncology toxicity
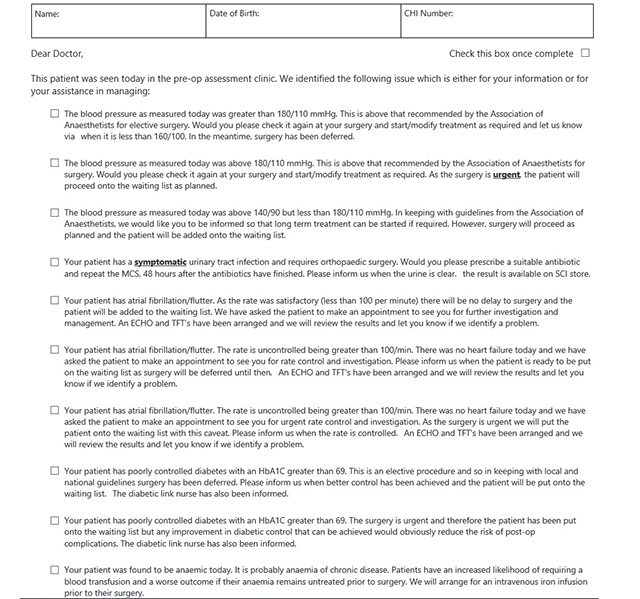
Pre-op assessment
Pre-op assessment
Record of hospital day care
Resuscitation record
-
Discharge letter
-
Emergency recording
-
GP letter
-
Multidisciplinary Team (MDT) record
-
Opinion request
-
Patient consent
-
Patient / GP letter
-
Referral letter
Bespoke e-forms
Can't find what you're looking for? Talk to us about creating your own bespoke e-forms.
e-form video gallery
-
Videos on YouTube
Downloads
-
Digitise paper forms with FormStream
-
FormStream in the NHS